清华大学地球系统科学系宫鹏教授研究组与国内外多家单位合作以《有限全球样本稳定地表覆盖分类:迁移2015年的30米分辨率样本完成2017年的10米分辨率全球地表覆盖制图》(Stable classification with limited sample: transferring a 30-m resolution sample set collected in 2015 to mapping 10-m resolution global land cover in 2017)为题撰文介绍了世界首幅10米分辨率全球地表覆盖制图方法与结果。该成果3月8日在线发表于《科学通报》(Science Bulletin)期刊上。

基于10米分辨率的Sentinel-2数据的2017年全球地表覆盖图(FROM-GLC10)
当前世界发展面临一系列挑战,如人口增长、城市化、农业发展以及气候变化对粮食安全的影响、能源和水资源短缺、资源过度开采、生物多样性丧失和环境污染等。为维护人类健康和实现联合国可持续发展目标,需要及时和高分辨率的全球地表覆盖信息,从而能够更好地进行环境监测。然而,直到2012年才由清华大学完成并共享了首套30米分辨率的全球地表覆盖图。
随着应用需求的提升,当前迫切需要更高空间分辨率的全球地表覆盖产品。而开发这样的产品,需要依赖大量的人力和很强的计算能力。
宫鹏等基于研究组2011年以来在全球30米地表覆盖制图中获得的经验和在样本库建设方面的积累,结合10米分辨率Sentinel-2全球影像的完整存储和免费获取,以及Google Earth Engine平台强大的云计算能力,开发出了世界首套10米分辨率的全球地表覆盖产品——FROM-GLC10(清华大学的全球首套30米分辨率地表覆盖图称为Finer Resolution Observation and Monitoring of Global Land Cover (FROM-GLC))。

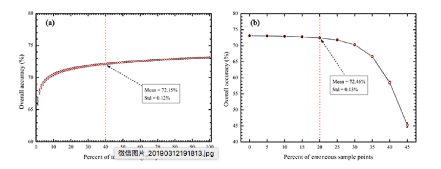
减少样本量和增加错误样本时的稳定性。左图,当样本量增加时,精度迅速上升到相对稳定的高度。右图,随机错误的样本百分比上升,精度下降。两种情况都是分别随机取样1000次的实验结果,整体分类精度非常稳定,最大标准差远小于0.5%。
该产品基于2017年在《科学通报》发表的全球首套多季节样本库,涵盖从2014年和2015年Landsat 8影像、由专家解译得到的均匀覆盖全球的多季节样本。其中,训练集包含大约340,000个不同大小的样本(从30m×30m到500m×500m),覆盖全球约93,000个样本点位;验证集包含大约140,000个不同季节的样本,覆盖超过38,000个样本点位。将该样本库应用于2017年获取的Sentinel-2影像,并基于随机森林分类器得到全球10米地表覆盖图。
该研究提出“有限全球样本稳定地表覆盖分类”理论,指出了全球训练样本迁移到其他年份或不同传感器获取的遥感数据对最少样本数量和误差限度的要求。为了验证该理论在全球尺度的正确性,研究组设计了一系列严密的随机试验,分别测试了分类器对样本数量的敏感性,以及对因每年地表实际发生的土地覆盖变化或解译误差导致的样本错误的容忍度。结果显示,在纳入实验的样本量仅占整体的40%,或训练样本的误差比例达到20%时,分类精度的损失在1%之内,说明稳定分类仍能得以实现,即“有限全球样本稳定地表覆盖分类”的理论是成立的。这一理论保证了对样本进行迁移的有效性。
该文对2017年10米分辨率的FROM-GLC10产品进行了精度检验,并将其与2017年30米分辨率的FROM-GLC30产品进行了比较。检验和比较结果显示,FROM-GLC10总体精度为72.76%,与FROM-GLC30精度相当,但FROM-GLC10的结果提供了更多的空间细节。
本文的第一作者和通讯作者是宫鹏教授,地学系博士生刘涵、张美男等是论文合作者,中国科学院遥感与数字地球研究所遥感科学国家重点实验室、清华海峡院人工智能地球实验室总工程师王杰,中国科学院遥感与数字地球研究所遥感科学国家重点实验室副研究员黄华兵,谷歌尼古拉斯·克林顿是论文共同通讯作者。
FROM-GLC10产品目前已正式面向全球公开,可以通过http://data.ess.tsinghua.edu.cn进行免费下载。
原文链接:https://www.sciencedirect.com/science/article/pii/S2095927319301380
(来源:http://www.dess.tsinghua.edu.cn/publish/ess/7777/2019/20190312192330788121092/20190312192330788121092_.html)