近日,地球系统科学系博士生曹谷雨在大气科学领域权威杂志“Journal
of Climate”发表题为“对流加热的垂直结构在NCAR CAM5.3模式中模拟MJO的作用”(Role of Vertical
Structure of Convective Heating in MJO Simulation in NCAR
CAM5.3)的论文。该论文针对季节内振荡在全球绝大部分模式中模拟不足的问题,设计有针对性的敏感性试验,提出并验证了中尺度层云加热结构的模拟缺失是MJO模拟效果差的重要原因之一。论文的通讯作者为清华大学地学系张广俊教授。
季节内振荡现象是热带天气气候过程中最为重要的一部分,而MJO(Madden-Julian
Oscillation, Madden and Julian 1971,
1972)更是季节内振荡的主要过程。其30天到90天的时间尺度不仅对长期气候变化产生深远影响,更是引起短期天气变化的重要过程,是连接每时每刻与人类活动息息相关天气变化和全球气候变化大局的重要桥梁。因此在气候模式中准确模拟MJO现象一直是世界气候领域的研究重点。然而目前世界上大部分气候模式无法准模拟估计季节内振荡,其根本原因是至今没能理清其中的物理过程和机制。根据国外学者分析观测数据提出的观点,该论文针对热带地区垂直加热结构做了敏感性试验,以此分析推动MJO过程的理解和模式评估改进。
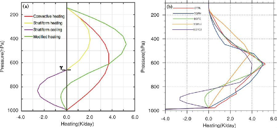
目前世界上所有对流参数化方案除Donner (1993)外,其他在使用中的方案均没有考虑中尺度层云加热过程。该论文通过引入中尺度层云加热结构,即上层凝结释放潜热加热和低层降水蒸发冷却作用,来探究中尺度加热结构在MJO发展中的作用。

图 1 论文所采用方法
分析结果中发现引入层云加热结构使得CAM5中MJO的模拟有显著提高。在评估模拟结果过程中,许多观测到的MJO的特点都能被模拟出来,这些特点包括清晰的东传过程、动力及热力场MJO尺度的垂直倾斜结构以及20到80天的能量波谱等。进一步分析发现浅对流显著增强,且持续出现在MJO对流主体的前方,为MJO的东传和发展提供了水汽环境。结论证明,由于现今几乎所有模式都没有在对流参数化方案中考虑层云加热结构,从而导致无法准确模拟出MJO,表明了层云加热过程在模式模拟MJO过程中的重要地位。

图 2 该研究中模式及观测的MJO模拟效果对比
博士生曹谷雨师从著名模式专家张广俊教授,是地学系三年级直博生。研究方向主要集中在气候模式评估及MJO模拟提升等方面,同时深入研究和云相关过程联系十分紧密的深对流参数化方案。
Journal of Climate是大气科学领域权威杂志,根据Thomson Reuters的文献引用报告,其2013年的影响因子为4.90,五年影响因子4.54。
http://journals.ametsoc.org/doi/pdf/10.1175/JCLI-D-16-0913.1