棕碳气溶胶及其辐射强迫是近年来气候变化研究的重点,生物质燃烧是棕碳气溶胶的重要排放源。泰国清迈干季期间(通常为2至4月)山火频发、农业烧荒活动密集,生物质燃烧旺盛,大量棕碳气溶胶被排放进入大气。棕碳对紫外—可见光波段的太阳辐射具有显著吸收作用,能够加热大气,影响局地气候。但目前关于泰国清迈生物质燃烧对当地气候影响的研究十分有限,并且缺少对棕碳辐射强迫的评估。
清华大学地球系统数值模拟教育部重点实验室彭怡然副教授研究组针对泰国清迈生物质燃烧及其气候影响这一科学问题,基于大气化学模式GEOS-Chem开展一系列模拟试验,定量评估了该地区生物质燃烧源碳类气溶胶的辐射强迫以及棕碳的贡献。近日,该研究成果以“棕碳对泰国清迈生物质燃烧源碳类气溶胶的光吸收和辐射效应的贡献”(Contribution of brown carbon to the light absorption and radiative effect of carbonaceous aerosols from biomass burning emissions in Chiang Mai, Thailand)为题,发表于地学高影响期刊《大气环境》(Atmospheric Environment)上。
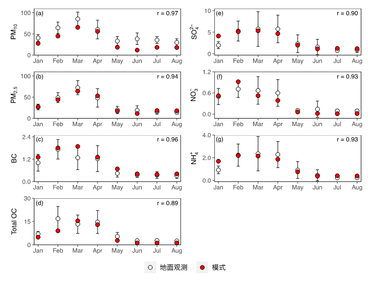
本研究在模拟试验中使用分离法来实现对棕碳的模拟,即将棕碳作为一种单独追踪成分引入模式,区别于对太阳辐射无吸收作用的有机碳。由于棕碳光学特性仍然具有较大的不确定性,本研究设计了棕碳强吸收(BrCH)、中等吸收(BrC0)和弱吸收(BrCL)三组敏感性试验,以探究棕碳光学特性对其辐射强迫的影响。通过与地面观测的气溶胶浓度进行比较,模拟试验能够较好地重现清迈地区气溶胶的浓度水平和季节变化(图1)。模拟的辐射强迫结果如图2所示,清迈干季期间棕碳气溶胶在当地所引起的大气层顶(TOA)瞬时辐射强迫为-0.97±0.27 W/m2,是碳类气溶胶总辐射强迫的14±3%。此外,考虑棕碳的吸收性后,棕碳和有机碳的TOA瞬时辐射强迫之和(IRFTOC)被削弱9±3%,而地面IRFTOC被增强9±5%,表明棕碳能够让更多的太阳辐射被保留在大气中,并且能够对清迈当地气候造成不容忽视的影响。本研究定量评估了生物质燃烧源棕碳对泰国清迈气候的直接影响,为东南亚地区和生物质燃烧源区的棕碳辐射强迫评估提供了参考。
清华大学地球系统数值模拟教育部重点实验室博士生张莹为论文的第一作者,实验室彭怡然副教授为论文通讯作者,南京信息工程大学章炎麟教授和宋文怀同学、泰国清迈大学Tippawan Prapamontol教授和Pitakchon Ponsawansong同学、以及美国休斯敦大学王聿绚副教授为论文合作者。该研究得到了国家自然科学基金(No.41761144056,No.71690243和No.41775137)以及泰国科学研究与创新项目(Thailand Science Research and Innovation; No.RDG 6030019)的支持。

图1 (a) PM10, (b) PM2.5, (c) 黑碳 (BC), (d)总有机碳 (TOC, 包括棕碳和有机碳), (e) 硫酸根 (SO42-), (f) 硝酸根 (NO3-), (g) 铵根 (NH4+) 的近地面观测浓度与模拟浓度。
图中同时标注了气溶胶模拟浓度与观测浓度的相关系数(r)。

图2 基于模式评估的黑碳(BC)、有机碳(OC)和棕碳(BrC)在大气层顶(TOA)和地面(surface)所引起的瞬时辐射强迫(IRF),
以及棕碳所引起的大气层顶IRFTOC的变化(∆IRFTOC).Baseline为基准模拟试验,该试验将棕碳视作对太阳辐射无吸收作用的有机碳。
全文链接:https://doi.org/10.1016/j.atmosenv.2021.118544
供稿:张莹
编辑:王佳音
审核:武海平